金沙js1005线路接收校内转专业本科生实施办法
时间:2017-05-16 访问量:
根据《普通高等学校学生管理规定》(教育部令第41号)和《湖南科技大学本科生转专业管理办法(修订)》,既考虑学生转专业的志愿要求,又结合学院教学资源的现实条件,特制定本办法。
一、实施原则
坚持公平、公正、公开的原则,根据申请转专业学生的校内课程考核成绩平均学分绩点(无校内课程考核成绩的大学一年级新生采用高考总分)和面试成绩,择优推荐各专业转入学生。
二、实施程序
(一)学生须在学校规定的转专业时间范围内提出申请,其他时间申请不予受理。
(二)学院根据学校本科生转专业相关规定,审核确定符合基本条件的各专业转入人数。
(三)根据学校已下达的某一专业总指标数,分别确定该专业接收文科、理科、工科三大类专业(无校内课程考核成绩的大学一年级新生分文科、理科两大类)接收学生人数的分配指标数,专业分类情况见附1。计算公式如下:
文科、理科、工科类(或一年级新生文科、理科类)接收转入分配指标数=学校已下达的指标数*[符合条件的文科、理科、工科类(或一年级新生文科、理科类)申请转入专业学生人数/该专业申请转入学生总人数]。
(四)根据学院制定的转专业面试工作方案,从心理状态、专业适应性、学习规划等方面进行面试。转专业面试工作流程见附2。
(五)对于有校内课程考核成绩的学生,按照文科、理科、工科三大类学生在校期间课程考核成绩的平均学分绩点和面试成绩择优录取,总成绩中平均学分绩点权重为60%,面试成绩权重为40%。对于无校内课程考核成绩的大学一年级新生,分为文科和理科两大类别,按照高考总分和面试成绩择优录取,总成绩中高考总分权重为60%,面试成绩权重为40%。总成绩计算办法见附3。
(六)学院将考查结果上报学校教务处审批。
三、其他说明
根据学校本科生转专业相关规定及本选拔办法,本次没有入选申请专业名单的学生,允许申请一次转入我院其它经济管理类有剩余指标的专业,选拔程序参照本办法执行。
附1:文科、理科、工科类学院划分一览表
|
文科学院 |
人文与传播学院、外国语学院、马克思主义学院、 金沙js1005线路、艺术学院、体育学院、法学与公共管理学院、教育学院 |
|
理科学院 |
化学化工学院、数学与计算科学学院、物理与电子科学学院、生命科学学院 |
|
工科学院 |
资源环境与安全工程学院、土木工程学院、机电工程学院、信息与电气工程学院、计算机科学与工程学院、建筑与艺术设计学院、材料科学与工程学院 |
1.面试原则
(1)坚持科学选拔、客观评价、择优录取的原则。
(2)坚持公开、公平、公正,做到政策透明、程序公正、监督机制齐全。
(3)重点考核申请人的综合素质和专业学习潜力。
2.组织领导
(1)面试工作领导小组
学院成立面试工作领导小组。领导小组组长由金沙js1005线路院长担任,副组长由分管本科教学的副院长和分管学生工作的副书记担任,领导小组成员包括金沙js1005线路副院长。领导小组下设办公室,由教务办主任担任。
(2)面试小组成员
分专业成立面试考官组。面试考官由学院院长、副院长、副书记、各转入专业的系主任、教务办主任、学工办主任及部分责
(3)面试工作监督小组
组长由院党委书记担任。成员包括院党委书记、纪检委员。
3.面试内容及安排
面试主要测试应试者是否具有学习各经济类或管理类专业的素质和潜力。应试者需进行1分钟的自我介绍。面试考官主要从心理状态、专业适应性、学习规划等方面进行提问。
面试的时间和地点根据学校教务处通知另行安排。
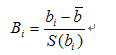
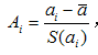
附3:总成绩计算方法和步骤

其中,Ai和Bi为标准得分。
2.计算综合得分Zi。该同学的综合得分为
3.转化为十分制。将该综合得分Zi转化为十分制总成绩

其中,
金沙js1005线路
